| Organic (2024 VCE) | |
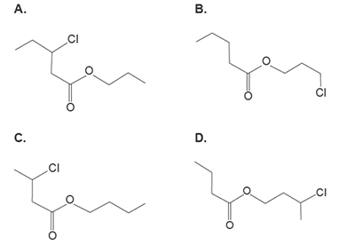
| 1. Each of the following compounds has a molar mass of  2. Which one of the following statements about cyclohexane and benzene is correct?   4. Which one of the following represents the skeletal structure for 3-chlorobutyl butanoate?        Solution 6. When the triglyceride, in question 5, is reacted with methanol to produce glycerol and Compound J   Solution |  | 
|  | |
| 7.  Solution b. Linalool, C10H18O, is a colourless oil found in lavender plants. Linalool may be useful in the human body to reduce inflammation. The molar mass of linalool is 154 g moI-. 
 i. How many chiral centres are present in each linalool molecule? Solution 
 |  | 
| 8. A reaction pathway begins with a hydrocarbon, Compound E. 
 a. i. Write the molecular formula of Compound E in the box provided. | |
| 9. Capsicum frutescens is a plant used to reduce inflammation and pain. One active ingredient of this plant Solution |  | 
| 10. Paracetamol, C8H9NO2, can be made using two different reactions, Reaction  Reaction P1 
 Reaction P2 
 Results • For Reaction P1 , the percentage yield is 87% and the percentage atom economy is 72%. 
 Solution ii. Use your answer to part a.i to discuss which reaction is better aligned with green chemistry. Support your answer by referencing the relevant green chemistry principle. Solution Prevention of waste is a green chemistry principle. Refer to item 26.ii of the Data Book. Discuss Reaction P1 and Reaction P2 in terms of this green chemistry principle. 3 marks Solution |  |