| Biomacro molecules (Food chem) (2024 VCE) | |
| 1) A triglyceride is reacted with methanol, CH3OH, in the presence of concentrated KOH(aq). The products of this reaction are glycerol and Compound J. 2) When the triglyceride is reacted with methanol to produce glycerol and Compound J Solution |  | 
|    3) A reaction between sulfur atoms in proteins 
 Solution |  | 
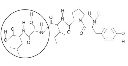
| 3) a. Gluten exorphin C is derived from gluten found in bread. The skeletal structure of gluten exorphin C is shown below. Solution 
 Solution | 
 
 | 
| iii. Use item 20 of the Data Book to name a monomer that reacted to form the circled section of the gluten exorphin C molecule shown above. Solution Solution 
 Solution 
 Solution 
 | 4  | 
| 4) A label on a bread packet has the following  information.  Use item 12 of the Data Book to calculate the energy typically available for the body to use in 100 g of bread. Solution 
 |  |